Zakoni
Detalji dokumenta
Objavljen
Donesen
Stupa na snagu
Poglavlja nisu pronađena.
Pravila za statutarnu certifikaciju pomorskih brodova, sredstva za signalizaciju
Pročišćeni tekst vrijedi od 04.02.2021.
Narodne novine
7/2021
)
MINISTARSTVO MORA, PROMETA I INFRASTRUKTURE
150
Na temelju članka 77. stavka 9. Pomorskog zakonika (»Narodne novine«, br. 181/04, 76/07, 146/08, 61/11, 56/13, 26/15 i 17/19) ministar mora, prometa i infrastrukture donosi
PRAVILA
ZA STATUTARNU CERTIFIKACIJU POMORSKIH BRODOVA, SREDSTVA ZA SIGNALIZACIJU
Članak 1.
(1) Pravila za statutarnu certifikaciju pomorskih brodova, Sredstva za signalizaciju, propisuju tehničke zahtjeve za brodove hrvatske državne pripadnosti u svezi sredstava za signalizaciju te sadrže odredbe koje su u skladu s Konvencijom o međunarodnim propisima za sprečavanja sudara na moru, 1972 (COLREG 1972), kako je dopunjena IMO Rezolucijom A.1085(28), IMO MSC.1/Circ.1260, rev.1, IMO MSC.1/Circ.1427 i IMO Rezolucijom MSC.253(83) u svezi izvedbenih normi za navigacijska svjetla, upravljački panel navigacijskih svjetala i pripadne opreme.
(2) Sastavni dio ovih Pravila su prilozi:
a) Prilog I: »Opći zahtjevi«;
b) Prilog II: »Oprema brodova sredstvima za signalizaciju«;
c) Prilog III: »Konstrukcija signalnih sredstava«;
d) Prilog IV: »Postavljanje signalnih sredstava na brod«;
e) Prilog V: »Signali pogibelji«.
PRIJELAZNE I ZAVRŠNE ODREDBE
Članak 2.
Ova Pravila stupaju na snagu osmoga dana od dana objave u »Narodnim novinama«.
Članak 3.
Stupanjem na snagu ovih Pravila, prestaju važiti Pravila za statutarnu certifikaciju pomorskih brodova, Sredstva za signalizaciju
iz 2014. godine objavljena u »Narodnim novinama« br. 118/2014.
Klasa: 342-26/20-01/1
Urbroj: 530-03-1-1-2-21-2
Zagreb, 20. siječnja 2021.
Ministar
Oleg Butković, v. r.
PRILOG I.
OPĆI ZAHTJEVI
1.1 PRIMJENA
1.1.1 Pravila za statutarnu certifikaciju pomorskih brodova, Sredstva za signalizaciju (u daljnjem tekstu: Pravila) odnose se na brodove kojih oprema sredstava za signalizaciju podliježe tehničkom nadzoru te na izradbu sredstava za signalizaciju.
1.1.2 Pravila se primjenjuju na nove brodove te na postojeće brodove, osim zahtjeva navedenih pod 2.1 iz Tablice 2.2.1. Postojeći brodovi, kojih sredstva za signalizaciju u određenoj mjeri ne odgovaraju zahtjevima ovih Pravila, mogu biti oslobođeni od sljedećih zahtjeva:
.1 od premještanja svjetiljki zbog prijelaza sa standardnog engleskog sustava jedinica na metrički i zaokruživanja mjernih veličina,
.2 od vodoravnog razmještaja jarbolnih svjetala navedenih u 4.2.1.3, za brodove duljine manje od 150 metara,
.3 od izmjena razmještaja bočnih svjetiljki navedenih u 4.2.2.1,
.4 od zahtjeva za sredstva za signalizaciju zvukom navedenih u 3.3 i 4.6.2.1.
1.1.3 Pravila propisuju tehničke zahtjevi za sredstva za signalizaciju te određen broj tih sredstava i njihov smještaj na brodu.
1.2 OBJAŠNJENJA IZRAZA I POJMOVA
Izrazi i pojmovi, koji se odnose na opće nazivlje pravila navedeni su u Pravilima za statutarnu certifikaciju pomorskih brodova, Opći propisi, Prilog I.
Objašnjenja izraza i pojmova koje se odnose na ova Pravila:
1.2.1 Visina nad trupom − razmak od najgornje neprekinute palube do mjesta postavljanja ili ugradnje svjetiljke, mjeren neposredno ispod nje.
1.2.2 Domet vidljivosti − udaljenost s koje se svjetlost mora vidjeti u tamnoj noći pri čistoj atmosferi.
1.2.3 Duljina broda − duljina broda u metrima preko svega.
1.2.4 Širina broda − najveća širina broda u metrima.
1.2.5 Kratki zvuk − zvuk trajanja oko 1 sekundi.
1.2.6 Dugi zvuk − zvuk trajanja od 4 do 6 sekundi.
1.2.7 Zviždaljka − naprava, koja može davati propisane kratke i duge zvučne signale.
1.2.8 Brod na mehanički poriv − brod koji se pokreće strojem.
1.2.9 Brod ograničene mogućnosti manevriranja − brod kojemu je zbog naravi obavljanog posla ograničena mogućnost manevriranja, te se stoga ne može maknuti s puta i ustupiti mjesto brodu koji dolazi. Brodovi ograničene mogućnosti manevriranja smatraju se, ali se ne ograničavaju samo na ove navedene:
.1 brodovi koji postavljaju, poslužuju ili skidaju navigacijske oznake te postavljaju, kontroliraju ili podižu podvodni kabel ili cjevovod,
.2 brodovi koji obavljaju iskopavanja na dnu, hidrografska ispitivanja ili podvodne radove,
.3 brodovi zauzeti prekrcavanjem ili popunom osoba, zaliha ili tereta, dok plove,
.4 brodovi s kojih uzlijeću ili slijeću letjelice,
.5 brodovi koji obavljaju tegljenja, koja im ne dopuštaju skretanje s kursa.
1.2.10. Brod koji ribari − brod koji lovi ribu mrežama, povrazima, kočama, ili drugim priborom za ribolov koji ograničava njegovu mogućnost manevriranja, ali ne brod koji ribari povrazom s umjetnom mekom (panulom) ili drugim priborom za ribolov, koji ne ograničava njegovu mogućnost manevriranja.
1.2.11. Brod koji koćari − brod koji kroz vodu vuče povlačnu pridnenu mrežu – koću ili neku drugu napravu kojom se lovi riba.
1.2.12. Jedrenjak − brod pokretan jedrom, uključujući i mehanički poriv uz uvjet da se njime ne koristi.
1.2.13. Bljeskajuće svjetlo s brzim bljeskovima − svjetlo koje u pravilnim razmacima stvara bljeskove s učestalošću od 120 ili više bljeskova u minuti.
1.3 OPSEG NADZORA
1.3.1. Opći zahtjevi o načinu obavljanja tehničkog nadzora nad signalnim sredstvima, njihovom izradbom i pregledima, kao i zahtjevima za tehničku dokumentaciju, koja se dostavlja na odobrenje, navedeni su u Pravilima za statutarnu certifikaciju pomorskih brodova, Opći propisi.
1.3.2. Sredstva za zvučnu signalizaciju, dvosmjerna glasovna i podatkovna veza s Telemedicinskom uslugom prve pomoći (TMAS) i sustav za zvučnu signalizaciju ugrađen prema krmi kojim se signalizira praćenje i manevri u nuždi mora biti tipno odobrena.
1.3.3. Navigacijske svjetiljke moraju biti odobrene u skladu sa zahtjevima Pravilnika o pomorskoj opremi.
1.3.4. Opremanje brodova sredstvima za signalizaciju mora se obavljati pod nadzorom priznate organizacije.
1.4 PODJELA BRODOVA U GRUPE
1.4.1 Svi brodovi, neovisno o njihovoj namjeni i području plovidbe, u pogledu opreme signalnih sredstava (osim pirotehničkih signalnih sredstava), dijele se na dvije grupe:
.1 grupa I brodovi na mehanički poriv duljine 20 metara i više, te jedrenjaci i brodovi bez vlastitog poriva neovisno o njihovoj duljini,
.2 grupa II brodovi na mehanički poriv, kraći od 20 metara.
PRILOG II.
OPREMA BRODOVA SREDSTVIMA ZA SIGNALIZACIJU
2.1 OPĆE UPUTE
2.1.1 Brodska sredstva za signalizaciju o kojima se govori u ovim Pravilima, obuhvaćaju:
.1 navigacijska svjetla,
.2 bljeskajuće svjetiljke,
.3 sredstva za zvučnu signalizaciju,
.4 signalna tijela i zastave.
2.2 OPREMA BRODOVA GRUPE I
2.2.1 Osnovni slog sredstava za signalizaciju na brodovima grupe I mora udovoljavati zahtjevima navedenim u Tablici 2.2.1.
Dodatna sredstva za signalizaciju za tegljače, potiskivače, brodove ograničene sposobnosti manevriranja, peljarske brodove, ribarske brodove i brodove na zračnom jastuku, navedena su u Tablici 2.4.1.
Tablica 2.2.1
Osnovni slog signalnih sredstava na brodovima grupe I
| Redni broj | Signalna sredstva | Tip broda | |
| Brodovi na mehanički poriv | Jedrenjaci5), te potiskivani i tegljeni brodovi9), 10), bez vlastitog poriva | ||
| 1 | 2 | 3 | 4 |
| 1 | Navigacijska svjetla: | ||
| 1.1 | − jarbolno | 2/1 2) |
|
| 1.2 | − bočno, desno | 1 | 1 8) |
| 1.3 | − bočno, lijevo | 1 | 1 8) |
| 1.4 | − krmeno | 1 | 1 7) |
| 1.5 | − sidreno | 2/1 2) | 2/1 2) |
| 1.6 | »nesposoban za manevar« | 2 | 2 |
| 2 | Bljeskajuće svjetiljke: | ||
| 2.1 | − ponavljač zvučnog signala | 1 3) | − |
| 3 | Sredstva za signalizaciju zvukom: | ||
| 3.1 | − zviždaljka | 1 | − |
| 3.2 | − zvono | 1 6) | 1 6) |
| 3.3 | − gong | Duljina > 100 m 6) | − |
| 4 | Signalna tijela i zastave: | ||
| 4.1 | − lopta | 3 | 3 |
| 4.2 | − stožac | jedan stožac za svaki brod koji se može pokretati na mehanički poriv i jedra 4) | |
| 4.3 | − dvostruki stožac | 1 1) | 1 1) |
| 4.4 | − zastave (ICS slog) | 1 | − |
| 5 | Međunarodni signalni kodeks: | 1 | − |
Napomene:
1. Može se zamijeniti s dva stošca međusobno spojena osnovicama.
2. Brojnik – brodovi duljine 50 metara i više. Nazivnik – brodovi duljine do 50 metara.
3. Ne zahtijeva se za brodove manje od 500 GT.
4. Ne zahtijeva se, ako se umjesto crnog dvostožastog dijela (vidi napomenu 1) upotrebljavaju dva spojena osnovicama.
5. Vidi 2.2.6.
6. Vidi 2.2.8.
7. Ne zahtjeva se potiskivane brodove.
8. Vidi 2.2.7.
9. Teglenice ili objekti koji se tegle, a nisu oni iz primjedbe 10, trebaju imati bočna svijetla i krmeno svjetlo, a ako dužina teglja prelazi 200 metara i dvostruki stožac.
10. Slabo primjetni, djelomično potopljeni brod ili objekt, ili kombinacija takvih brodova ili objekata koji se tegle trebaju imati:
.1 ako je širina objekta manja od 25 metara, 2 bijela svijetla s vodoravnim kutom vidljivosti od 360o;
.2 četiri bijela svijetla s vodoravnim kutom vidljivosti od 360o, ako je širina objekta viša od 25 metara;
.3 peto bijelo svijetlo s vodoravnim kutom vidljivosti od 360o, ako je duljina objekta 100 metara i više;
.4 dopunski dvostruki stožac, ako tegalj ima dužinu veću od 200 metara.
2.2.2 Brodovi grupe I mogu biti opremljeni električnim ili uljnim navigacijskim svjetiljkama.
Na brodovima koji obavljaju međunarodna putovanja, a koji su opremljeni električnim generatorskim uređajima, osim jedrenjaka, navigacijske svjetiljke moraju biti električne.
Za njih dodatno treba predvidjeti slog rezervnih svjetiljki u opsegu navedenom u 2.2.4. Rezervni slog može se sastojati od električnih svjetiljki s napajanjem iz akumulatorske baterije, ili iz izvora za slučaj nužde, ili se može sastojati od uljnih svjetiljki.
Na brodovima na kojima uljne svjetiljke predstavljaju osnovni slog, mora postojati rezervni slog svjetiljki u opsegu navedenom u 2.2.4.
2.2.3 Tankeri i drugi brodovi namijenjeni za prijevoz proizvoda od nafte ili drugih lako zapaljivih tereta te brodovi namijenjeni za tegljene tih brodova, moraju biti opremljeni samo električnim svjetiljkama
2.2.4 Slog rezervnih svjetiljki sadrži: jarbolne, bočne, krmenu i sidrene svjetiljke.
2.2.5 Svaki brod mora biti opskrbljen ovim rezervnim dijelovima i priborom za svjetiljke koje spadaju u osnovni slog:
.1 jedno obojeno filter-staklo za sve istovrsne svjetiljke iste boje,
.2 dvije električne žarulje za svaku električnu svjetiljku,
.3 šest staklenih cilindara, ako sve uljne svjetiljke imaju jednake dimenzije staklenih cilindara; inače se moraju predvidjeti po dva staklena cilindra za svaku svjetiljku,
.4 jedan stijenj za svaku uljnu svjetiljku,
.5 zapaljiva smjesa za rezervne uljne svjetiljke u količini koja osigurava gorenje cijelog sloga svjetiljki u trajanju od najmanje 32 sata.
2.2.6 Jedrenjaci mogu biti dopunski opremljeni dvjema svjetiljkama, kojih osobine moraju udovoljavati zahtjevima navedenim pod rbr. 9 i 10 u Tablici 3.1.2.
2.2.7 Na brodovima grupe I, kraćim od 20 metara, bočne svjetiljke se mogu zamijeniti dvobojnom svjetiljkom.
2.2.8 Zvono i gong se mogu zamijeniti nekim drugim uređajima koji imaju iste osobine zvuka, ali uvijek mora postojati mogućnost da se signal daje ručno.
2.2.9 Brodovi koji su ograničeni gazom, pored svjetala koja se zahtijevaju prema Tablici 2.2.1 za brodove na mehanički poriv, mogu se opremiti i s tri svjetla, kojih su osobine navedene pod rbr. 9 u Tablici 3.1.2 te jednim valjkom (Tablica 3.4.1). Ako je brod opremljen navedenim svjetlima, ona se mogu koristiti i kao svjetla »nesposoban za manevar« koja se zahtijevaju prema Tablici 2.2.1.
2.3 OPREMA BRODOVA GRUPE II
2.3.1 Osnovni slog sredstava za signalizaciju kojima trebaju biti opremljeni brodovi grupe II, osim pirotehničkih sredstava, mora biti u skladu sa zahtjevima navedenim u Tablici 2.3.1.
Tablica 2.3.1
Osnovni slog signalnih sredstava na brodovima grupe II
| Redni broj | Signalna sredstva | Tip broda | |
| Brodovi na mehanički poriv | Jedrenjaci3) te potiskivani i tegljeni brodovi, bez vlastitog poriva | ||
| 1 | 2 | 3 | 4 |
| 1 | Navigacijska svjetla: | ||
| 1.1 | − jarbolno | 1 | − |
| 1.2 | − bočno, desno 1) | 1 | 1 |
| 1.3 | − bočno, lijevo 1) | 1 | 1 |
| 1.4 | − krmeno 1) | 1 | 1 4) |
| 1.5 | − sidreno | 1 | 1 |
| 1.6 | – »nesposoban za manevar« | 2 | 2 |
| 2 | Bljeskajuće svjetiljke: | ||
| 2.1 | − ponavljač zvučnog signala | 1 3) | − |
| 3 | Sredstva za signalizaciju zvukom: | ||
| 3.1 | − zviždaljka | 1 | − |
| 3.2 | − zvono | 1 5) | − |
| 4 | Signalna tijela i zastave: | ||
| 4.1 | − lopta | 3 | 3 |
| 4.2 | − stožac | jedan stožac za svaki brod na mehanički poriv koji u plovidbi koristi jedra | |
| 4.3 | − dvostruki stožac | − | 1 2) |
Napomene:
1. Vidi 2.3.3.
2. Samo za tegljene brodove. Može se zamijeniti s dva osnovkama međusobno spojena stošca.
3. Vidi 2.2.6, ali se to ne odnosi na brodove koji su u skladu s 2.3.3, opremljeni trobojnom svjetiljkom.
4. Ne zahtijeva se za potiskivane brodove.
5. Ne zahtijeva se za brodove duljine do 20 metara ali se zato po potrebi mora osigurati neki drugi zvučni signal.
2.3.2 Brodovi grupe II mogu se opremiti električnim ili uljnim svjetiljkama. Za te brodove ne zahtjeva se rezervni slog svjetiljki, osim rezervne uljne sidrene svjetiljke.
2.3.3 Na brodovima grupe II bočne svjetiljke mogu se zamijeniti kombiniranom dvobojnom svjetiljkom, a na jedrenjacima duljine manje od 20 metara, bočne i krmene svjetiljke mogu se zamijeniti trobojnom svjetiljkom.
2.3.4 Rezervni dijelovi i pribor za svjetiljke na brodovima grupe II moraju udovoljavati zahtjevima navedenim u 2.2.5.
2.4 DOPUNSKA OPREMA ZA TEGLJAČE, POTISKIVAČE, BRODOVE OGRANIČENE MOGUĆNOSTI MANEVRIRANJA, PELJARSKE BRODOVE, RIBARSKE BRODOVE I BRODOVE NA ZRAČNOM JASTUKU
2.4.1 Tegljači, potiskivači, brodovi ograničene mogućnosti manevriranja, peljarski brodovi, ribarski brodovi i brodovi na zračnom jastuku, pored sredstava za signalizaciju navedenih u Tablici 2.2.1 ili 2.3.1, moraju se opremiti i signalnim sredstvima navedenim u Tablici 2.4.1.
2.4.2 Bageri s opremom za kopanje dna i brodovi koji obavljaju podvodne radove, pored svjetiljki navedenih u Tablici 2.4.1 za brodove s ograničenom mogućnošću manevriranja, moraju imati dva svjetla s osobinama navedenim u rbr. 9 u Tablici 3.1.2, te dva svjetla s osobinama navedenim u točki 10. te iste tablice, dvije lopte i dva dvostruka stošca.
2.4.3 Ako je potiskivač čvrsto spojen s potiskivanim brodom, tako da oni čine jednu cjelinu, treba ih smatrati jednim brodom na mehanički poriv i opremati ih sredstvima za signalizaciju u skladu s Tablicom 2.2.1 ili 2.3.1.
Tablica 2.4.1
Dopunska sredstva za signalizaciju za tegljače, potiskivače, brodove s ograničenom mogućnošću manevriranja, peljarske brodove, ribarske brodove i brodove na zračnom jastuku
| Redni broj | Tip broda | Tegljenje (jarbolno) | 1. Ograničena
mogućnost manevriranja 2. peljarenje 3. ribarenje 4. kočarenje |
1. Ograničena
mogućnost manevriranja 2. peljarenje 3. ribarenje |
Koćarenje | Tegljenje (krmeno) | Brod na
zračnom jastuku |
Stožac |
| bijelo | bijelo | crveno | zeleno | žuto | žuto
bljeskajuće |
|||
| 1. | Tegljač | 2/1 1) |
|
− | − | 1 6) | − | − |
| 2. | Potiskivač | 1 | − | − | − | − | − | − |
| 3. | Brod s ograničenom 2) mogućnošću manevriranja | − | 1 | 2 3) | − | − | − | − |
| 4. | Peljarski brod | − | 1 | 1 | − | − | − | − |
| 5. | Ribarski brod koji koćari 4) | − | 1 | − | 1 | − | − | 2 |
| 6. | Ribarski brodovi koji ribare kočom vrlo blizu jedan drugog | − | 2 5) | 2 5) | − | − | − | − |
| 7. | Ribarski brod (osim brodova koji kočare) s opremom koje protezanje kroz vodu nije dulje od 150 metara | − | 1 | 1 | − | − | − | 2 |
| 8. | Ribarski brod (osim brodova koji kočare) s opremom koje je protezanje kroz vodu dulje od 150 metara | − | 2 | 1 | − | − | − | 3 |
| 9. | Brod na zračnom jastuku | − | − | − | − | − | 1 | − |
Napomene:
1. U brojniku – tegljači grupe I; u nazivniku tegljači grupe II. Ako je brod grupe I predviđen za tegljenje, a duljina teglja mjerena od krme tegljača do krme posljednjeg tegljenog broda nije veća od 200 metara, taj brod može nositi samo jednu svjetiljku za tegljenje. Ako je brod iz grupe II predviđen za tegljenje, a duljina teglja veća od 200 metara, on se mora opremi i s dvije svjetiljke za tegljenje
2. Vidi 2.4.2.
3. Mogu se koristiti i kao svjetiljke »nesposoban za manevar«, koje se zahtijevaju u stupcu 3. i 4. Tablice 2.2.1 i 2.3.1.
4. Brodovi kraći od 50 m mogu imati i jarbolno svjetlo koje odgovara zahtjevima točke 1. Tablice 3.1.2.
5. Za brodove kraće od 20 m ova svijetla nisu obvezna.
6. Ne treba za brodove koji guraju ili tegle bokom druge brodove.
PRILOG III.
KONSTRUKCIJA SIGNALNIH SREDSTAVA
3.1 NAVIGACIJSKA SVJETLA
3.1.1 Kategorija svjetala
Ova Pravila propisuju zahtjeve za dvije osnovne kategorije navigacijskih svjetala:
.1 svjetla kategorije I, koja su predviđena za brodove duljine 50 metara i više,
.2 svjetla kategorije II, koja su predviđena za brodove kraće od 50 metara.
3.1.2 Osnovne osobine svjetala
Osnovne osobine pojedinih svjetala moraju biti u skladu sa zahtjevima Tablice 3.1.2.
Tablica 3.1.2
Osnovne osobine navigacijskih svjetala
| Redni
broj |
Naziv svjetla | Boja
svjetla |
Najmanji domet vidljivosti (Nm) | Kut vidljivosti svjetla u vodoravnoj ravnini (raspored kutova vidljivosti) | |||
| svjetlo
kategorije I |
svjetlo
kategorije II |
ukupni kut | |||||
| 1 | 2 | 3 | 4 | 5 | 6 | 7 | |
| 1. | 1. | Jarbolno 2) | bijela | 6 | 5 1) | 225o | Po 112,5o na svaku stranu od smjera pramca broda |
| 2. | Za tegljenje | ||||||
| 2. | Bočno, desno 2) | zelena | 3 | 2 | 112,5o | 112,5o od smjera pramca, preko
desnog boka broda |
|
| 3. | Bočno, lijevo 2) | crvena | 3 | 2 | 112,5o | 112,5o od smjera pramca preko
lijevog boka broda |
|
| 4. | Kombinirano, dvobojna | zelena
crvena |
− | 2 | 225o | Po 112,5o na svaku stranu od smjera pramca broda:
desno − zeleno svjetlo lijevo − crveno svjetlo |
|
| 5. | Kombinirano, trobojna | zelena
crvena bijela |
− | − | 360o | Zeleno svjetlo – 112,5o desno od
smjera pramca broda: crveno svjetlo − 1125o lijevo od pramca broda: bijelo svjetlo − 135o po 67,5o na svaku stranu od smjera krme broda |
|
| 6. | Krmeno 2) | bijela | 3 | 2 | 135o | Po 67,5o na svaku stranu, od smjera krme broda | |
| 7. | Za tegljenje | žuta | 3 | 2 | 135o | Po 67,5o na svaku stranu, od smjera krme broda | |
| 8. | 1. | Sidreno | bijela | 3 | 2 | 360o | Po cijelom obzorju |
| 2. | Peljarsko | ||||||
| 3. | Ograničene mogućnosti
manevriranja |
||||||
| 4. | Ribarsko | ||||||
| 5. | Za koćarenje | ||||||
| 9. | 1. | Peljarsko | crvena | 3 | 2 | 360o | Po cijelom obzorju |
| 2. | Nesposoban za manevar 3) | ||||||
| 3. | Ograničene mogućnosti manevriranja | ||||||
| 4. | Ribarsko | ||||||
| 5. | Gornje, za jedrenjak | ||||||
| 6. | Ograničen svojim gazom | ||||||
| 10. | 1. | Za kočarenje | zelena | 3 | 2 | 360o | Po cijelom obzorju |
| 2. | Donje, za jedrenjak | ||||||
| 11. | «Na zračnom jastuku« | žuta bljeskajuća | 3 | 2 | 360o | Po cijelom obzorju | |
| 12. | Dopunska svjetla za ribarske brodove koji ribare kočom ili plivaricom vrlo blizu jedan drugome | bijela
crvena žuta |
1
1 1 |
1
1 1 |
360o
360o 360o |
Po cijelom obzorju | |
| 13. | Za slabo primjetne, djelomično potopljene ili objekte koji se tegle | bijela | 3 | 3 | 360o | Po cijelom obzorju | |
Napomena:
1. Na brodovima kraćim od 20 metara najmanji domet vidljivosti – 3 nautičke milje.
2. Na brodovima duljim od 50 metara navigacijska svjetla moraju biti dvostruka ili s dvostrukim žaruljama.
3. Svjetla »Nesposoban za manevar« mogu se koristiti kao dio svjetala »Ograničena mogućnost manevriranja« poštujući zahtjeve u pogledu međusobnih udaljenosti svjetala kao i mogućnost neovisnog uključivanja na panelu svjetala.
3.1.3 Opći tehnički zahtjevi
3.1.3.1 Za navigacijska svjetla navedena u Tablici 3.1.2 može se koristiti električni izvor svjetlosti ili izvor svjetlosti na ulje (vidi 3.1.7).
3.1.3.2 Električne i uljne svjetiljke moraju biti tako konstruirane, da ne može prodrijeti voda na dijelove električnih svjetiljki kroz koje se provodi struja, te na stakleni cilindar, stijene ili druge dijelove koji utječu na proces gorenja u uljnim svjetiljkama, kada po tim svjetiljkama prska voda.
3.1.4 Tijelo svjetiljke
3.1.4.1 Tijelo svjetiljke i njeni dijelovi moraju se izraditi od materijala otpornih na djelovanje morske vode, ili moraju biti na odgovarajući način zaštićeni od djelovanja morske vode.
Konstrukcijska izvedba električnih svjetiljki mora osigurati zaštitu od vode (IP-56).
3.1.4.2 Električne i uljne svjetiljke moraju biti tako građene da ne može doći do zagrijavanja optičkih dijelova ili tijela svjetiljke, što bi moglo uzročiti oštećenje optičkih dijelova ili deformiranja tijela svjetiljke, vodeći računa o temperaturama na koje se može naići u raznim klimatskim uvjetima.
3.1.4.3 Tijelo svjetiljke mora biti tako izvedeno da je moguće brzo zamjenjivanje električnih ili uljnih lampi. Uljne svjetiljke se moraju izraditi tako da se u njih može smjestiti umetak s već postavljenim staklenim cilindrom.
3.1.4.4 Svjetiljka se mora izraditi tako da je omogućeno istjecanje kondenzata i dotok svježeg zraka, uz potreban stupanj sigurnosti.
3.1.4.5 Svjetiljke moraju imati odgovarajuća sredstva za pričvršćenje na odgovarajućim mjestima.
3.1.4.6 Kako ne bi došlo do pogoršanja osobina svjetiljke, samo originalne žarulje, specificirane od proizvođača, smiju se koristiti za odgovarajuće svjetiljke.
3.1.4.7 Na brodu se treba nalaziti dovoljan broj pričuvnih žarulja vodeći računa o zahtjevu za dvostrukim navigacijskim svjetlima.
3.1.5 Leće i glatka stakla
3.1.5.1 Za navigacijska svjetla mogu se upotrebljavati leće ili glatka stakla, uz uvjet da osobine svjetiljki udovoljavaju zahtjevima navedenim u stupcima 4 i 5 Tablice 3.1.2 i u 3.1.6.3.
3.1.5.2 Unutarnje i vanjske površine leća i stakala moraju biti glatke, a staklo ne smije imati strana tijela, mjehuriće i rezove koji pogoršavaju osobine svjetiljke.
Leće moraju biti robusne, od nehrđajućih materijala da bi se osigurala dugovječnost i optička kvaliteta.
3.1.5.3 Leće predviđene za navigacijska svjetla moraju imati takvu konstrukciju da krivulja okomitog širenja svjetlosti svjetiljke osigurava:
.1 jačinu svjetlosti ne manju od jačine propisane u 3.1.7.1 u granicama kutova vidljivosti u okomitoj ravnini do 5o na obje strane od vodoravne ravnine simetrije leće,
.2 najmanje 60% od propisane jačine svjetlosti u granicama kutova vidljivosti do 7,5o na obje strane od vodoravne ravnine simetrije leće, a za svjetiljke na jedrenjacima pri jedrenju najmanje 50% od propisane jačine svjetlosti u granicama kutova vidljivosti do 25o na obje strane od vodoravne ravnine simetrije leće.
3.1.5.4 Krivulja vodoravne podjele svjetlosti bočnih svjetiljki mora biti takva da svjetiljke na brodu imaju jačinu svjetlosti propisanu u 3.1.7.1 u smjeru pravo po pramcu, koja se mora smanjivati i nestajati u području od 1o do 3o izvan propisanih sektora (vidi 4.2.2.2).
U krmenim i jarbolnim svjetiljkama, te u sektorima bočnim od 22,5o iza poprečnice, navedena jačina svjetlosti mora biti u području do 5o od granica sektora propisanih u Tablici 3.1.2.
Počevši od 5o prije granice sektora jačina svjetlosti se može smanjiti za 50% na granici sektora; dalje se mora postupno smanjivati i sasvim nestati u području ne većem od 5o izvan propisanih sektora.
3.1.5.5 Na brodovima duljine 12 metara i više, intenzitet svjetlosti u horizontalnom smjeru izvan vidljivog sektora ne smije biti viši od 10% intenziteta u vidljivom sektoru. Na brodovima duljine 12 metara i više, odnos između maksimalnog i minimalnog intenziteta u vidljivom horizontalnom sektoru ne smije varirati za faktor veći od 1,5.
Na brodovima duljine 12 metara i više, odnos između maksimalnog i minimalnog intenziteta u vertikalnom sektoru ne smije varirati za faktor veći od 1,5.
3.1.6 Obojena filter-stakla
3.1.6.1 Obojena svjetla u navigacijskim svjetiljkama mogu se stvarati pomoću odgovarajućih obojenih filter-stakala.
Obojena glatka stakla mogu se upotrebljavati ako su osigurane osobine obojenog filtra na cijeloj njegovoj površini.
Svaki pojedinačni slučaj upotrebe obojenih leća predmet je posebne odluke Ministarstva na preporuku priznate organizacije.
3.1.6.2 Obojena filter-stakla koja se koriste za navigacijska svjetla, mogu se izrađivati od stakala koja su obojena po čitavoj debljini ili samo po površini.
Filtri svjetala mogu se izrađivati od plastike, uz uvjet da njihove osobine ni u kom pogledu nisu lošije od osobina koje vrijede za filtre svjetala od stakla.
3.1.6.3 Koordinate x i y kutnih točaka dopuštenih u području za svaku boju prikazane su u Tablici 3.1.6.3.
Boja svjetlosti svjetiljke ovdje se uzima kao rezultat dobijen u optičkom sustavu svjetlosnih filtera izvor svjetlosti.
Koeficijenti propuštanja svjetlosnih filtara u boji moraju imati takve vrijednosti da se postiže domet vidljivosti svjetla u skladu sa zahtjevima Tablice 3.1.2. i točke 3.1.5.3.
Tablica 3.1.6.3
Koordinate kutnih točaka područja obojenosti
| Boja svjetlosti | Koordinate | Kutne točke | |||||
| crvena | x
y |
0,680
0,320 |
0,660
0,320 |
0,735
0,265 |
0,721
0,259 |
−
− |
−
− |
| zelena | x
y |
0,028
0,385 |
0,009
0,723 |
0,300
0,511 |
0,203
0,356 |
−
− |
−
− |
| bijela | x
y |
0,525
0,382 |
0,525
0,440 |
0,452
0,440 |
0,310
0,348 |
0,310
0,283 |
0,443
0,382 |
| žuta | x
y |
0,612
0,382 |
0,618
0,382 |
0,575
0,425 |
0,575
0,406 |
−
− |
−
− |
3.1.6.4 Obojeno filtar – staklo mora imati visinu i duljinu luka da filtar pokriva čitavu unutarnju površinu leće.
3.1.6.5 Unutarnje i vanjske površine svjetlosnih filtara ne smiju imati rezove i ulupine, a stakla svjetlosnih filtara ne smiju imati mjehuriće, strana tijela ili opiljke, koji pogoršavaju osobine svjetiljki.
3.1.6.6 Filtri svjetlosti se moraju učvrstiti u svjetiljke, tako da se ne mogu nekontrolirano pomicati prilikom upotrebe svjetiljki.
3.1.6.7 Uređaj za pričvršćenje svjetlosnog filtra u navigacijskim bočnim, te kombiniranim dvobojnim i trobojnim svjetiljkama, mora biti tako konstruiran da se isključi mogućnost postavljanja crvenog filtra umjesto zelenog i obratno.
3.1.7 Izvor svjetlosti
3.1.7.1 Izvor svjetlosti u električnim svjetiljkama mora biti električna žarulja (led diode se mogu prihvatiti samo uz posebne uvjete priznate organizacije zbog promjene intenziteta svjetlosti tijekom starenja), a u uljnim svjetiljkama uljni plamenik. Jačina svjetlosti I (cd) električne svjetiljke za daljinu vidljivosti koja se zahtjeva prema Tablici 3.1.2, ne smije biti manja od vrijednosti dobivene prema jednadžbi:
I = 3,43 x 106 x T x D2 x K-D, (3.1.7.1)
gdje je:
T = 2 x 10-7 svjetlosni prag (u luksima),
D = daljina vidljivosti svjetla (Nm),
K = 0,8 koeficijent propuštanja atmosfere na 1 nautičku milju, što odgovara meteorološ koj vidljivosti od približno 13 Nm.
Jačina svjetlosti navigacijske svjetiljke nikada ne smije iznositi više od 150 cd.
Jačina svjetlosti svjetiljke koja nije električna mora odgovarati što je moguće više vrijednosti dobivenoj po prethodnoj jednadžbi.
3.1.7.2 Izvori svjetlosti u svjetiljkama moraju biti postavljeni okomito, tako da vodoravna ravnina simetrije leće dijeli izvor svjetlosti na dva približno jednaka dijela.
3.1.7.3 Uređaj za učvršćenje izvora svjetlosti u svjetiljci mora biti tako izveden, da se izvor svjetlosti može postaviti samo u jednom određenom položaju, i to tako da je isključena mogućnost nekontrolirane izmjene tog položaja za vrijeme korištenja svjetiljke uz uvjet da je u njoj omogućena laka zamjena izvora svjetlosti.
3.1.7.4 U električne svjetiljke moraju biti ugrađena grla s uređajima koji isključuju mogućnost nekontroliranog pomicanja žarulje.
3.1.7.5 Nije dopušteno da se u električnoj svjetiljci upotrijebi više od jedne žarulje, ili da se upotrijebi žarulja s dvostrukom niti.
3.1.7.6 U uljnim svjetiljkama mogu se koristiti plamenici s jednim ravnim stijenjem, dvostruki plamenici s dva ravna stijenja ili plamenici s okruglim stijenjem. Dimenzije plamenika i stijenja moraju biti tolike da osiguravaju jakost svjetla u skladu s 3.1.7.1.
3.1.7.7 Stijenjevi moraju biti takvih osobina da se za vrijeme gorenja stvara što manje čađe i da se postiže jednaka jačina svjetlosti za vrijeme od najmanje 6 sati gorenja, bez reguliranja visine stijenja i bez skidanja gara.
3.1.7.8 Konstrukcijom i načinom ugradnje rezervoara u uljnu svjetiljku mora se osigurati potpuna nepomičnost rezervoara i onemogućiti neispravno postavljanje svjetiljke.
Kapacitet rezervoara uljne svjetiljke, neovisno o njenoj namjeni, mora osigurati gorenje u trajanju od najmanje 16 sati.
3.1.7.9 Kao gorivo u uljnim svjetiljkama mora se upotrebljavati smjesa s temperaturom zračenja od najmanje 1900 K.
3.1.7.10 Stakleni cilindar plamenika mora biti od bezbojnog stakla, po mogućnosti bez ikakvih stranih tijela, mjehurića i rezova; ako oni postoje, ne smiju umanjivati jakost svjetla ispod granice zahtjevane u 3.1.7.1.
3.1.7.11 Ako su u jarbolnim, bočnim i krmenim uljnim svjetiljkama postavljeni parabolični reflektori, oni moraju biti od materijala otpornog na koroziju, a njihov oblik i dimenzije moraju osigurati točan smjer odbijenih zraka koje padaju na leću.
Reflektor mora biti tako smješten u svjetiljci da se njegovo središte krivine (fokus) poklapa s optičkim središtem leće.
U navigacijskim električnim svjetiljkama nije dopuštena upotreba reflektora.
3.1.8 Označavanje navigacijskih svjetiljki
3.1.8.1 Svaka navigacijska svjetiljka mora biti označena kako slijedi:
- ime proizvođača i tip,
- tip/kategorija u skladu s COLREG-om,
- serijski broj i broj svjedodžbe,
- oznaka pramčanice,
- domet vidljivosti u nautičkim miljama,
- nominalna snaga žarulje za određeni domet vidljivosti.
3.2. SIGNALNE BLJESKAJUĆE SVJETILJKE
3.2.1 Osnovne osobine bljeskajućih svjetiljki moraju biti u skladu sa zahtjevima navedenim u Tablici 3.2.1.
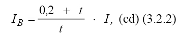
3.2.2 Materijal, konstrukcija i električni učinak bljeskajućih svjetiljki moraju udovoljavati zahtjevu da jakost jednog bljeska svjetla ne bude manja od vrijednosti dobivene po jednadžbi:
gdje je:
t = trajanje bljeska (s),
I = vidi 3.1.7.1.
Tablica 3.2.1
Osobine bljeskajućih svjetiljki
| Redni broj | Naziv
svjetiljke |
Boja svjetla | Domet vidljivosti svjetla
(u nautičkim miljama) |
Područje vidljivosti u vodoravnoj ravnini
(u stupnjevima) |
|
| za brodove grupe I | za brodove grupe II | ||||
| 1. | Manevarsko svjetlo | bijela | 5 | − | Po cijelom obzorju (360o) |
3.2.3 Manevarsko svjetlo mora biti električno, i mora osigurati slanje bljeskova istodobno dok se daje zvučni signal.
3.2.4 Oprema za upravljanje manevarskim svjetlom se mora nalaziti na mjestu upravljanja brodom.
3.3 ZVUČNA SIGNALNA SREDSTVA
3.3.1 Glavne osobine zviždaljki moraju biti u skladu s Tablicom 3.3.1.
Tablica 3.3.1
Osobine zviždaljki
| Duljina broda (L), m | Opseg glavne
frekvencije, Hz |
Najmanja razina1) zvučnog tlaka, dB | Domet čujnosti 2)
(u nautičkim miljama) |
| 200 ≤ L | 70 − 200 | 143 | 2,0 |
| 75 ≤ L < 200 | 130 − 350 | 138 | 1,5 |
| 20 ≤ L < 75 | 250 − 700 | 130 | 1,0 |
| L < 20 | 180 − 2100 | 120 * | 0,5 |
| 115 ** | |||
| 111 *** |
Za izmjerene frekvencije koje su u rasponu * 180-450 Hz
Za izmjerene frekvencije koje su u rasponu ** 450-800 Hz
Za izmjerene frekvencije koje su u rasponu *** 800-2100 Hz
Napomene:
1. Mjereno na udaljenosti od 1 m od zviždaljke u smjeru najveće jačine zvuka gdje je uključeno najmanje 1/3 oktavnog opsega zvuka frekvencije 180-700 Hz (± 1%)za brodove duljine 20 m ili više, odnosno 180-2100 Hz (± 1%) za brodove duljine do 20 m.
2. Ovaj domet je samo informativan i predstavlja približan domet u kojem se zviždaljka može čuti u smjeru najveće jačine zvuka, s 90% vjerojatnosti u uvjetima mirnog zraka i na brodu s prosječnom razinom buke na mjestima za osluškivanje (68 dB na oktavnom pojasu ugođenom na 250 Hz, i 63 dB na oktavnom pojasu ugođenom na 500 Hz).
3.3.2 Zvono i gong na udaljenosti od 1 m moraju stvarati razinu zvučnog tlaka od najmanje 110 dB.
3.3.3 Sredstva za zvučnu signalizaciju koja se upotrebljavaju na brodu moraju sigurno raditi, davati zvuk potrebne jačine, te osiguravati potrebno trajanje i jasnoću pojedinih signala.
3.3.4 Zvuk zviždaljke mora biti jednolikog tona, bez ikakvih promjena, kreštanja ili nekih drugih deformacija. Početak i kraj svakog signala, neovisno o trajanju, mora biti jasan i odsječen. Konstrukcija zviždaljke mora udovoljavati zahtjevu 4.6.2.1. Da bi se za vrijeme magle mogao davati signal zviždaljkom, preporučuju se specijalni automati koji omogućuju reguliranje signala prema vremenu, te davanje signala rukom, samoisključivanjem automata u momentu ručnog davanja signala.
3.3.5 Zvono mora davati jak i čist zvuk i mora biti izrađeno od materijala otpornog na koroziju. Ne dopušta se bojenje zvona. Zvono predviđeno za brodove dulje od 20 metara mora imati promjer vanjskog dijela otvora najmanje 300 mm. Masa klatna zvona mora iznositi najmanje 3 % mase zvona.
3.3.6 Gong mora biti od čelika, bronce ili drugog jednakovrijednog materijala. Gong mora biti opremljen maljem i mora imati uređaj za okačivanje na podupirač ili uređaj za držanje u rukama, ako je prenosivog tipa. Gong izrađen od čelika mora imati antikorozijsku oblogu. Bojenje gonga je zabranjeno.
3.4 PANEL NAPAJANJA NAVIGACIJSKIH SVJETALA
3.4.1 Svako navigacijsko svjetlo mora imati vlastiti prekidač za napajanje i svjetlosnu indikaciju uključenosti.
3.4.2 Panel mora biti opremljen s funkcijama alarma (svjetlosni i zvučni) za slučaj gubitka napajanja kao i za slučaj greške prekida ili kratkog spoja pojedine svjetiljke u pogonu.
3.4.3 Panel mora biti izrađen na način da su indikacijske lampice navigacijskih svjetiljki logički raspoređene na prikazu broda.
3.4.4 Sve indikacijske lampice moraju imati mogućnost regulacije osvjetljenosti kako ne bi ometale navigaciju po noći.
3.4.5 Alarm greške mora se priključiti na centralni alarmni sustav broda.
3.4.6 Svako se navigacijsko svjetlo mora priključiti na panel s posebnim strujnim krugom kako eventualna greška ili kratki spoj ne bi utjecali na ostale navigacijske svjetiljke.
3.4.7 Panel navigacijskih svjetiljki se mora napajati i s izvora energije za nužnost. Dozvoljava se automatsko prebacivanje izvora napajanja.
3.5 SIGNALNA TIJELA I ZASTAVE
3.5.1 Signalna tijela i zastave moraju imati dimenzije navedene u Tablici 3.5.1. Signalna tijela moraju biti crne boje.
Tablica 3.5.1
Dimenzije signalnih tijela i zastava
| Redni broj | Naziv | Brodovi duljine 20 metara i više | Brodovi kraći od 20 metara |
| 1. | Lopta | Promjer 0,60 | Promjer 0,30 |
| 2. | Stožac | Promjer osnovke i visina 0,60 | Promjer baze i visina 0,30 |
| 3. | Dvostruki stožac | Mala dijagonala 0,60 | Mala dijagonala 0,30 |
| 4. | Valjak | Promjer 0,6 visina 1,2 | − |
| 5. | Košara 1) | − | − |
| 6. | Signalne zastave 2) | 1,00 x 1,25 3)
0,50 x 0,62 |
− |
Napomene:
1. Vidi 3.4.3.
2. Mogu biti većih dimenzija, ali nikako manjih.
3. Trebaju imati samo brodovi dulji od 50 metara.
3.5.2 Signalna tijela i zastave moraju imati odgovarajuće kuke ili druge uređaje za pričvršćenje uzice s pomoću kojih se podižu, te za spajanje s drugim signalnim tijelima, odnosno zastavicama.
Signalna tijela koja se sklapaju moraju imati uređaj za osiguranje otvorenog položaja pri podizanju i za čitavo vrijeme isticanja.
Kuke i rastavne uzice koje signalna tijela međusobno spajaju (izuzev stošca) moraju osigurati propisani razmak između njih; ne manji od 1,5 metara na brodovima dugim 20 metara i više, i ne manjim od 1 metra na brodovima kraćim od 20 metara.
Stošci se međusobno moraju izravno spajati vrhovima ili osnovkama.
3.5.3 Dimenzije košare ne smiju biti manje od dimenzija signalnih tijela koja ulaze u sastav opreme broda, ali im se oblik mora razlikovati.
PRILOG IV.
POSTAVLJANJE SIGNALNIH SREDSTAVA NA BRODU
4.1 OPĆI ZAHTJEVI
4.1.1 Sredstva za signalizaciju moraju biti postavljena ili čuvana na brodu tako da su u svako doba spremna za upotrebu.
4.1.2 Svjetiljke glavnog i rezervnog sloga na brodu moraju se postavljati u određenom položaju i na mjesta predviđena za njih.
4.1.3 Okomiti razmak između položaja gdje su svjetiljke postavljene, koji je naveden u ovom poglavlju, treba smatrati najmanjim. Ovaj razmak mora biti odgovarajuće povećan, ako bilo kakva brodska nadgrađa ili uređaji mogu ometati vidljivost svjetiljke. Međutim, povećanja ovih razmaka ne smiju biti veća od veličina navedenih u ovom poglavlju.
4.1.4 Na brodovima grupe I opremljenim električnim navigacijskim svjetiljkama koje se napajaju iz razdjelnika navigacijskih svjetiljki, mora se u kormilarnici postaviti vizualno-zvučna signalizacija koja služi za signalizaciju prijekida rada bilo koje nepomične električne navigacijske svjetiljke.
4.1.5 Postavljanje električnih signalnih sredstava, te zaštita od radio smetnji koje ova sredstva izazivaju, moraju biti u skladu s pravilima za klasifikaciju priznate organizacije.
4.1.6 Na brodovima dizalicama i sličnim brodovima, na kojima se zbog posebne konstrukcije palubne opreme ne može sasvim udovoljiti zahtjevima ovog poglavlja Ministarstvo na preporuku priznate organizacije može se dopustiti drugačiji raspored signalnih navigacijskih svjetala, ali on mora biti što je moguće više u skladu sa zahtjevima navedenim u daljnjem tekstu.
4.1.7 Svjetiljke s vodoravnim kutom vidljivosti od 360o, osim sidrenih svjetiljki, moraju se tako postavljati da njihovo svjetlo ne bude zaklonjeno jarbolima, nastavcima jarbola ili nadgrađima u sektorima većim od 6o.
4.1.8 Ako je nepraktično udovoljiti zahtjevu 4.1.7 postavljanjem samo jedne svjetiljke s vodoravnim kutom vidljivosti od 360o, dvije svjetiljke sa kutom vidljivosti od 360o, će se koristiti prikladno smještene ili zakriljene tako da izgledaju koliko je to praktično, kao jedno svjetlo na udaljenosti od jedne milje.
Da bi se to postiglo, takve dvije svjetiljke mogu imati zasjenjenja kako slijedi:
Ѳ2 ≤ 360 – Ѳ1
gdje je:
Ѳ1: zasjenjeni kut jedne svjetiljke s vodoravnim kutom vidljivosti od 360o
Ѳ2: zasjenjeni kut druge svjetiljke s vodoravnim kutom vidljivosti od 360o
Detalji zasjenjenja će se razmotriti kroz odobrenje tehničke dokumentacije smještaja navigacijskih svjetala.
4.1.9 Ako se zahtjeva okomito postavljanje dviju ili triju svjetiljki jedne iznad druge, razmak između njih mora iznositi:
.1 na brodovima duljine 20 metara i više razmak između svjetiljki mora iznositi najmanje 2 metra, a najniža svijetiljka (osim na brodovima za koje se zahtjeva svjetiljka za označavanje tegljenja) se mora nalaziti najmanje 4 metra iznad trupa broda;
.2 na brodovima kraćim od 20 metara razmak između svjetiljki mora iznositi najmanje 1 metar, a najniža svjetiljka (osim na brodovima za koje se zahtjeva svjetiljka za označavanje tegljenja) se mora nalaziti najmanje 2 metra iznad trupa broda;
.3 ako se postavljaju tri svjetiljke, razmak između njih mora biti jednak.
4.1.10 S izuzetkom jedrenjaka, električne svjetiljke moraju biti postavljene na brod tako da udovoljavaju zahtjevima 3.1.5.3.
4.1.11 Navigacijska svjetla se moraju postaviti tako da se onemogući eventualni odsjaj svjetla koji bi smetao časniku u službi tijekom noćne navigacije.
4.2 GLAVNA NAVIGACIJSKA SVJETLA NA BRODOVIMA GRUPE I
4.2.1 Jarbolna svjetla
4.2.1.1 Prednje jarbolno svjetlo mora se postaviti na vrh ili na prednju stranu prednjeg jarbola, a ako je brod bez prednjeg jarbola na pramčani dio broda, u uzdužnici broda na visini ne manjoj od 6 metara iznad trupa broda. Ako je širina broda veća od 6 metara, ovo svjetlo mora biti postavljeno iznad trupa na visini ne manjoj od širine broda; međutim, nema potrebe da se nalazi više od 12 metara iznad brodskog trupa.
4.2.1.2 Jarbolno svjetlo na brzim plovilima postavlja se na visinu koja je u odnosu na širinu broda niža nego ona navedena u točki 4.2.1.1 tako da istokračni trokut, kojeg formiraju bočna svjetla u kombinaciji s jarbolnim svjetlima, nije manji od 27o.
4.2.1.3 Zadnje jarbolno svjetlo mora se postavljati u uzdužnici broda iza prednjeg jarbolnog svjetla.
Okomiti razmak između jarbolnih svjetala mora biti najmanje 4,5 metra i da se, osim toga, pri svim trimovima koji su mogući u normalnom korištenju broda, svjetlo zadnje svjetiljke vidi iznad svjetla prednje svjetiljke, i odvojeno od njega, na udaljenosti 1000 metara od pramčane statve, gledajući s razine mora.
Vodoravni razmak između prednjeg i stražnjeg jarbolnog svjetla ne smije biti manji od polovine duljine broda; međutim, nema potrebe da taj razmak bude veći od 100 metara. Prednje jarbolno svjetlo se ne smije postaviti dalje od 1/4 duljine broda od pramčane statve.
Ako se na brod koji je kraći od 50 metara, postavi jedna svjetiljka, ona se mora nalaziti na visini navedenoj u točki 4.2.1.1, a naprijed prema pramcu od sredine broda.
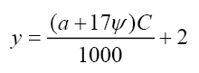
Na brzim plovilima duljine 50 metara i više okomiti razmak između prednjeg i zadnjeg jarbolnog svjetla od najmanje 4,5 metara može se preinačiti tako da taj razmak bude kraći, ali ne manji od iznosa dobivenog iz sljedeće formule:
gdje je:
y – okomiti razmak između prednjeg i zadnjeg jarbolnog svjetla;
a – visina prednjeg jarbolnog svjetla iznad vode – u radnim uvjetima;
Ψ – trim plovila u plovidbi u stupnjevima;
c – vodoravni razmak između prednjeg i zadnjeg jarbolnog svjetla.
4.2.1.4 Jarbolna svjetla moraju se postaviti iznad svih drugih svjetala, osim svjetala propisanih u 4.5.2, i u izuzetnim slučajevima svjetala propisanih u 4.4.5.1 i 4.4.5.3, te iznad nadgrađa koja ih mogu zasjeniti, tako da se mogu izravno vidjeti po cijelom vodoravnom sektoru vidljivosti koji se za njih zahtjeva.
4.2.1.5 Električne jarbolne svjetiljke moraju biti nepomične na svojim mjestima.
Uljne jarbolne svjetiljke moraju imati odgovarajuće uređaje za podizanje svjetiljki na za njih određeno mjesto i za njihovo spuštanje na palubu.
Konstrukcija tih uređaja mora osigurati pravilan i stabilan položaj svjetiljki koje su podignute na svoja određena mjesta.
4.2.2 Bočna svjetla
4.2.2.1 Svjetiljka sa zelenim svjetlom mora se nalaziti na desnom boku, a svjetiljka sa crvenim svjetlom na lijevom boku.
Obje svjetiljke treba postaviti paralelno s uzdužnicom broda, na liniji poprečnice i jednako udaljene od uzdužnice broda.
Na brodovima na mehanički poriv bočne svjetiljke moraju biti postavljene iza prednjeg jarbolnog svjetla, iznad trupa broda na visini ne većoj od 3/4 visine prednjeg jarbolnog svjetla.
Mjesta za njihovo postavljanje moraju biti tako odabrana da što bolje osiguraju da se svjetiljke ne kvase vodom.
Bočne svjetiljke se moraju postaviti što bliže boku broda odnosno ne dalje od boka za više od 10% širine broda do maksimalno 1 metra od boka broda.
4.2.2.2 Bočna svjetla moraju biti omeđena zaštitnim nišama, tako da se jačina svjetla prema pramcu praktično izgubi u granicama od 1 do 3 stupnja izvan propisani horizontalnihsektora. Do granice od 1 stupnja, izvan propisanog sektora prema pramcu, intenzitet bočnih svjetala mora biti pune jačine. Da bi se to postiglo, mogu se postavljati i poprečna sjenila.
Okomita vidljivost bočnih svjetala mora biti zadovoljena u svim kutevima do 5 stupnjeva iznad i ispod horizontalne ravnine svjetala. Instalacija je prihvatljiva ukoliko su bočna svjetla vidljiva u svim operativnim stanjima krcanja broda na najmanjoj udaljenosti od 1000 metara mjerene od krme broda, gledano s morske površine po cijeloj horizontalnoj ravnini od 112,5 stupnjeva uključujući i dodatni 1 stupanj iz prethodne stavke.
Visina zaštitne niše i sjenila ne smije biti manja od visine tijela svjetiljke.
Unutarnje površine zaštitnih niša moraju se obojiti crnom mat bojom. Zaštitne niše bočnih svjetiljki mogu biti dijelovi brodske strukture.
4.2.2.3 Zaštitne niše bočnih svjetiljki moraju se postaviti tako da njihov vanjski rub ne strši izvan linije boka broda. Bočna svjetiljka postavljena u zaštitnoj niši mora biti sigurno pričvršćena na privješenom mjestu i čvrsto priljubljena za zadnje poprečno sjenilo, a da se dnom oslanja na donju vodoravnu ploču zaštitne niše.
Zaštitne niše bočnih svjetiljki ne smiju se pričvrstiti na oputi broda. Ovo se može dopustiti samo na jedrenjacima i brodovima na jedra i mehanički poriv, uz uvjet da se poštuju navedeni zahtjevi. Pri tome ništa, uključujući i jedra, ne smije ometati vidljivost svjetla u predviđenim granicama.
4.2.2.4 Ako se postave bočne svjetiljke koje se uvlače u bok broda, mora se predvidjeti uređaj s odgovarajućim kočnicama koji osigurava pravilan položaj svjetiljki u stanju upotrebe.
4.2.2.5 Umjesto zaštitnih niša mogu se dopustiti bočne stijenke mosta ili kormilarnice, uz poštivanje svih ostalih zahtjeva navedenih u 4.2.2.1 do 4.2.2.5.
4.2.2.6 Potiskivani brodovi moraju nositi bočne svjetiljke učvršćene na prednjem dijelu trupa. Ako su ove svjetiljke električne, nužno ih je kompletirati.
.1 ako se gura više brodova u grupi, jedan ispred drugoga, bočne svjetiljke moraju biti samo na prvom brodu;
.2 ako se gura više brodova u grupi koju čine parovi brodova spojeni bočno, svaki brod od prvog para u grupi treba imati upaljenu samo jednu bočnu svjetiljku, tj. prednji desni brod imat će upaljeno desno navigacijsko svjetlo, a prednji lijevi brod imat će upaljeno lijevo navigacijsko svjetlo.
4.2.3 Krmeno svjetlo
4.2.3.1 Krmeno svjetlo mora biti postavljeno u uzdužnici broda i učvršćeno na linici, odnosno na vrhu rešetkaste ograde krme ili na zadnjoj stijenki kućice krmice.
Tegljači mogu imati krmeno svjetlo postavljeno na dimnjak, iznad opreme za tegalj, ali, po mogućnosti, ne iznad razine bočnih svjetala.
4.2.4 Sidreno svjetlo
4.2.4.1 Sidrena svjetla se moraju postavljati na pramčanom i krmenom dijelu broda. Krmeno sidreno svjetlo mora se postavljati najmanje 4,5 m ispod razine pramčanog svjetla. Na brodovima dugim 50 metara i više pramčano sidreno svjetlo mora se nalaziti najmanje 6 m iznad trupa broda.
4.2.4.2 Umjesto svjetala navedenih u 4.2.4.1 na brodovima kraćim od 50 metara, na najvidljivijem mjestu može se postaviti jedno sidreno svjetlo. Takvi brodovi nisu dužni, ali mogu nositi i krmeno sidreno svjetlo. Ako takav brod ima dva sidrena svjetla, ona moraju biti postavljena u skladu sa zahtjevima navedenim u 4.2.4.1
4.2.4.3 Sidrena svjetla mogu biti učvršćena na posebnim nosačima, ili se mogu podizati na svoja određena mjesta uređajima za podizanje. Sidrena svjetla moraju biti postavljena na krajevima broda na najvidljivijem mjestu.
4.2.5 Svjetla »nesposoban za manevar«
4.2.5.1 Dva svjetla »nesposoban za manevar« moraju se postaviti na najvidljivijem mjestu, okomito jedno iznad drugoga, u skladu sa zahtjevima navedenim u 4.1.7, 4.1.8, 4.1.9 i 4.1.10.
4.2.5.2 »Nesposoban za manevar« svjetla mogu biti učvršćena, ili se mogu podizati posebnim uređajima na mjesto gdje se najbolje mogu vidjeti.
4.3 GLAVNA NAVIGACIJSKA SVJETLA NA BRODOVIMA GRUPE II
4.3.1 Jarbolno svjetlo
4.3.1.1 Na brodovima na mehanički poriv dugim 12 metara i više jarbolno svjetlo mora se postavljati što je moguće više prema pramcu u simetrali broda, na jarbolu ili na posebnom nosaču, najmanje 2,5 m iznad razme ili najmanje 1 metar iznad kombinirane dvobojne svjetiljke.
Jarbolno svjetlo mora biti postavljeno u skladu sa zahtjevima navedenim u 4.2.1.4 i 4.2.1.5.
4.3.1.2 Brodovi na mehanički poriv kraći od 12 metara mogu nositi jarbolno svjetlo na visini manjoj od 2,5 metra nad razmom, ali najmanje 1 m iznad razine bočnih svjetala ili kombinirane dvobojne svjetiljke i što je moguće više prema pramcu, a ovo jarbolno svijetlo može biti bijelo svijetlo sa vodoravnim kutom vidljivosti od 360o.
4.3.2 Bočna svjetla
4.3.2.1 Bočna svjetla na brodovima grupe II, moraju se postaviti u skladu sa zahtjevima u 4.2.2.1 – 4.2.2.5, pri čemu se ne zahtjeva da svjetla budu postavljena iza prednjeg jarbolnog svjetla s razmakom bliskim širini broda, niti da budu omeđena zaštitnim nišama koje ne moraju biti obojene crnom mat bojom.
4.3.2.2 Ako brodovi grupe II umjesto bočnih svjetala imaju kombiniranu dvobojnu svjetiljku, ona mora biti postavljena u uzdužnici broda ispod jarbolnog svjetla, udaljena najmanje 1 metar (vidi 4.3.1.2), tako da pokazuje svoje zeleno svjetlo od smjera pramca do 22,5o iza poprečnice na desnoj strani, a crveno svijetlo od smjera pramca do 22,5o iza poprečnice na lijevoj strani.
4.3.2.3 Ako je jedrenjak grupe II opremljen kombiniranom trobojnom svjetiljkom (vidi 2.3.3), ona mora biti postavljena na vrhu ili oko vrha jarbola, na najvidljivijem mjestu. U ostalim zahtjevima kombinirane trobojne svjetiljke moraju biti postavljene u skladu s 4.3.2.2, kako se to čini pri postavljanju kombinirane dvobojne svjetiljke.
4.3.3 Krmeno svjetlo
4.3.3.1 Krmeno svjetlo mora biti postavljeno u skladu sa zahtjevima 4.2.3. Za postavljanje kombinirane trobojne svjetiljke umjesto krmene i bočnih svjetiljki, vidi 4.3.2.3.
4.3.4 Sidreno svjetlo
4.3.4.1 Sidreno svjetlo se mora postaviti na pramčanom dijelu broda u skladu sa zahtjevima 4.2.4.2.
Ne zahtjeva se da brodovi grupe II nose krmeno sidreno svjetlo.
4.3.5 Svjetla »nesposoban za manevar«
4.3.5.1 Svjetla »nesposoban za manevar« moraju se postavljati u skladu sa zahtjevima 4.2.5.
4.4 DOPUNSKA SVJETLA NA BRODOVIMA KOJI TEGLE ILI POTISKUJU, RIBARSKIM BRODOVIMA, PELJARSKIM BRODOVIMA, BRODOVIMA S OGRANIČENIM MOGUĆNOSTIMA MANEVRIRANJA I BRODOVIMA NA ZRAČNOM JASTUKU
4.4.1 Svjetla za tegljenje
4.4.1.1 Jarbolna svjetla za tegljenje koja moraju nositi brodovi kad tegle ili potiskuju, moraju biti postavljena iznad ili ispod prednjeg ili zadnjeg jarbolnog svjetla u okomitoj liniji jedno iznad drugoga, na međusobnom razmaku navedenom u 4.1.9.1. Ako se ova svjetla postavljaju na zadnjem jarbolu, okomiti razmak između najnižeg zadnjeg jarbolnog svjetla i prednjeg jarbolnog svjetla mora iznositi najmanje 4,5 metra.
4.4.1.2 Brodovi grupe II moraju nositi dva svjetla za tegljenje na mjestima zahtjevanima u 4.4.1.1, tako da njihov međusobni okomiti razmak ne smije biti manji od razmaka navedenog u 4.1.9.2 (vidi napomenu 1. uz Tablicu 2.4.1).
4.4.1.3 Svjetiljka za tegljenje (točka 7. Tablice 3.1.2) mora se postaviti u uzdužnici broda, okomito iznad krmene svjetiljke.
4.4.2 Svjetla za koćarenje
4.4.2.1 Brodovi koji koćare moraju imati dva svjetla za koćarenje, jedno iznad drugog, s tim da gornje svjetlo mora biti zeleno, a donje bijelo. Ova svjetla se moraju postaviti u skladu sa zahtjevima navedenim u 4.1.7, 4.1.8, 4.1.9 i 4.1.10.
4.4.2.2 Obje svjetiljke, propisane u 4.4.2.1, mogu biti učvršćene ili prenosive, s uređajem za pravovremeno podizanje i spuštanje.
4.4.2.3 Stražnje jarbolno svjetlo na brodovima koji koćare, dužine 50 metara i više, mora se nalaziti iza i iznad svjetiljke za koćarenje sa zelenim svjetlom. Na brodovima kraćim od 50 metara svjetiljke se moraju razmjestiti na isti način, ako se na tim brodovima postavlja jarbolna svjetiljka navedena u napomeni 4. uz Tablicu 2.4.1
4.4.2.4 Dopunska svijetla za brodove, zauzete koćarenjem blizu jedan drugog ili zajedničkim koćarenjem trebaju biti raspoređeni na najvišem vidljivom mjestu na razmaku ne manjem od 0,9 metara od svjetala predviđenih 4.4.2.1, i niže, a vertikalni razmak među dopunskim svjetlima treba biti ne manji od 1 metra.
4.4.3 Svjetla za ribarenje
4.4.3.1 Brodovi s napravama za ribarenje položenim u more, kojih vodoravno protezanje nije veće od 150 metara, moraju nositi dvije svjetiljke za ribarenje (jednu sa crvenim, a drugu s bijelim svjetlom), smještene u skladu s 4.4.2.1 i 4.4.2.2. Za brodove koji ribare, a ne kočare, gornje od ova dva svijetla mora biti crveno. Donje svjetlo se mora postaviti iznad bočnih svjetala najmanje na dvostrukom razmaku od razmaka između svjetala za ribarenje (crvenog i bijelog).
4.4.3.2 Brodovi s položenim napravama u moru, kojih vodoravno protezanje iznosi više od 150 metara, moraju nositi tri svjetiljke za ribarenje, od kojih dvije (jedna sa crvenim i druga s bijelim svjetlom) moraju biti učvršćene u skladu sa 4.4.3.1, a treća svjetiljka (s bijelim svjetlom) mora se nalaziti na vodoravnoj udaljenosti ne manjoj od 2 metra, ni većoj od 6 metara od okomitih svjetala u smjeru prostiranja naprava za ribarenje. Svjetiljka s bijelim svjetlom mora se nalaziti na visini ne većoj od visine bijelog svjetla navedenog u 4.4.3.1, i ne nižoj od bočnih svjetala.
4.4.3.3 Brodovi, zauzeti lovom ribe sa plivaricom blizu jedan drugoga, mogu postaviti dva žuta svijetla sa kutom vidljivosti 360o smještenih po vertikalnoj liniji na najvišem vidljivom mjestu na razmaku ne manjem od 0,9 metara sa strane svjetala predviđenih u 4.4.3.1, i niže, a vertikalni razmak među dopunskim svijetlima treba biti ne manji od 1 metra. Ova svijetla moraju bljeskati izmjenično svake sekunde, pri čemu duljina trajanja svijetla i zatamnjenja treba biti jednako.
4.4.4 Svjetla za peljarski brod
4.4.4.1 Peljarski brodovi moraju nositi dva peljarska svjetla koja se nalaze jedno iznad drugog, od kojih gornje mora biti bijele, a donje crvene boje. Gornje svjetlo se mora nositi na vrhu prednjeg jarbola, ili blizu njega. Oba svjetla moraju biti učvršćena u skladu s 4.1.7, 4.1.8, 4.1.9, i 4.1.10.
4.4.5 Svjetiljke za brodove »s ograničenom mogućnošću manevriranja« i »ograničene gazom«
4.4.5.1 Brodovi s ograničenom mogućnošću manevriranja moraju imati tri svjetiljke, okomito postavljene jedna iznad druge, s tim što gornja i donja trebaju biti s crvenom a srednja s bijelom svjetlošću. Ove svjetiljke se moraju postavljati na najvidljivijem mjestu, u skladu s 4.1.7, 4.1.8, 4.1.9 i 4.1.10.
4.4.5.2 Brodovi ograničeni gazom moraju imati tri crvene svjetiljke okomito postavljene jedna iznad druge. Ove svjetiljke se moraju postavljati na najvidljivijem mjestu, u skladu s 4.1.7, 4.1.8, 4.1.9 i 4.1.10.
4.4.5.3 Ako je nepraktično postaviti svjetla »ograničene sposobnosti manevriranja« i »ograničene gazom« ispod jarbolnih svjetala (u skladu s 4.2.1.4), ona se smiju postavljati iznad prednjeg jarbolnog svjetla ili po okomici između prednjeg i zadnjeg jarbolnog svjetla. U ovom slučaju treba ih postaviti na vodoravnom razmaku najmanje 2 metra bočno od uzdužnice broda.
4.4.5.4 Dopunska svjetla na brodovima koji jaružaju ili su zauzeti podvodnim radovima, a koja su predviđena u 2.4.2 za označavanje strane na kojoj postoji prepreka (dva svjetla crvene boje) i strane gdje bez opasnosti može proći drugi brod (dva svjetla zelene boje), moraju biti vodoravno međusobno što udaljenija, ali ni u kojem slučaju ne smiju biti udaljena manje od 2 metra od svjetiljki navedenih u 4.4.5.1. Na svakom boku svjetla se moraju nalaziti jedno iznad drugoga tako da se najviše od njih nikako ne smije nalaziti iznad najniže od triju svjetiljki navedenih u točki 4.4.5.1.
4.4.6 Svjetla za jedrenjake
4.4.6.1 Ako je jedrenjak opremljen svjetlima navedenim u 2.2.6, ona se moraju nalaziti na vrhu prednjeg jarbola ili blizu njega, na najvidljivijem mjestu. Svjetla se moraju postavljati jedno iznad drugog s razmakom navedenim u 4.1.9, s tim što je gornje svjetlo crveno, a donje zelene boje. Ova svjetla se ne smiju postavljati skupa s kombiniranom trobojnom svjetiljkom.
4.4.7 Svjetiljke za brodove na zračnom jastuku
4.4.7.1 Svjetiljka koje se osobine navedene u red. br. 11. Tablice 3.1.2 mora se postavljati na brodovima na zračnom jastuku, i to tako da se svjetlo može vidjeti sa svih strana obzorja. Ova svjetiljka mora biti učvršćena.
4.4.8 Svjetla za tegljenje brodova ili objekata
4.4.8.1 Na tegljenim slabo primjetnim, djelomično potopljenim brodovima ili objektima ili spojenim takvim brodovima i objektima trebaju biti postavljena bijela signalna karakteristična svijetla sa kutom vidljivosti od 360o:
.1 ako je širina manja od 25 metara, jedno bijelo svijetlo na ili blizu prednjeg kraja a jedno na ili blizu stražnjeg kraja,
.2 ako je širina 25 metara i više, dva dodatna svijetla na ili blizu bokova,
.3 ako je dužina veća od 100 metara postavlja se dopunsko svijetlo među svjetiljkama predviđenih u 4.4.8.1 i 4.4.8.2 tako što razmak među svjetlima ne bi prelazio 100 metara.
4.5 BLJESKAJUĆE SVJETILJKE
4.5.1 Svjetiljka za signalizaciju danju (gdje je primjenjivo prema odredbama Pravila za statutarnu certifikaciju pomorskih brodova, Pomagala za navigaciju), mora se čuvati u kormilarnici ili u navigacijskoj kabini, uvijek spremna za brzu upotrebu.
4.5.2 Manevarsko svjetlo
Svjetiljka za označavanje manevriranja mora se nalaziti na istoj uzdužnoj-okomitoj ravnini, kao i jarbolna svjetla, zatim, po mogućnosti, najmanje 2 metra iznad prednjeg jarbolnog svjetla i najmanje 2 metra iznad ili ispod stražnjeg jarbolnog svjetla. Ako na brodu koji ima samo jedno jarbolno svjetlo, postoji svjetiljka za označavanje manevriranja, ona se mora nalaziti na najvidljivijem mjestu, udaljena od jarbolnog svjetla po okomici najmanje 2 metra.
Svjetiljka za označavanje manevriranja mora se postaviti tako da se upali kada se uključi mehanizam zviždaljke i da se njezino svjetlo vidi po čitavom obzorju za sve vrijeme trajanja zvučnog signala. Ova svjetiljka mora moći davati svjetlosne signale i bez uključivanja mehanizma zviždaljke.
4.6 SREDSTVA ZA SIGNALIZACIJU ZVUKOM
4.6.1 Općenito
4.6.1.1 Sredstva za signalizaciju zvukom moraju se smjestiti tako da se zvuk koji ona stvaraju ne prekida, ni da bilo koji dijelovi brodske konstrukcije ili opreme ne izobličuju jačinu ili jasnoću zvuka.
4.6.1.2 Pogonski dio zvučnih sredstava za signalizaciju mora biti tako konstruiran da je isključena mogućnost nekontroliranog davanja zvuka uslijed djelovanja vjetra, snijega, zaleđivanja, itd.
4.6.2 Zviždaljke
4.6.2.1 Zviždaljke moraju biti postavljene na visini ne manjoj od 2,5 metara iznad najgornje palube, koja se rasprostire od boka do boka, te najmanje 0,5 m iznad palubnih kućica i drugih konstrukcija na toj palubi, koje bi mogle ometati širenje zvuka. Ako se postavlja samo jedna zviždaljka na brodu, ona se mora postavljati tako da je njezina najveća jačina zvuka usmjerena ravno u smjeru kretanja broda. U vodoravnoj ravnini, u granicama 45o od glavne osi zviždaljke (ravno u smjeru kretanja broda), pad zvučnog tlaka zviždaljke u odnosu na razinu u glavnom smjeru širenja zvuka ne smije iznositi više od 4 dB. U svim ostalim smjerovima u vodoravnoj ravnini pad zvučnog tlaka u odnosu na glavni ne smije biti veći od 10 dB, s time da domet čujnosti u bilo kojem smjeru ne bude manji od polovine dometa čujnosti u glavnom smjeru. Razina zvučnog tlaka prouzrokovanog vlastitom zviždaljkom na mjestima za osluškivanje (motrenje) ne smije biti veća od 110 dB.
4.6.2.2 Sustav za dovod pare ili zraka mora biti tako izveden da osigurava njihov dovod bez kondenzata u svako doba i u bilo kakvim vremenskim uvjetima.
4.6.2.3 Dugmad i ručne poluge za aktiviranje zviždaljke moraju biti postavljene na mjesto odakle se upravlja brodom. Na brodovima neograničenog područja plovidbe i ograničenog područja plovidbe 1, mora se postaviti najmanje jedno dugme (poluga) u kormilarnici i po jedno dugme (poluga) izvan kormilarnice, na krilima zapovjedničkog mosta. Brodovi kraći od 20 m mogu imati samo jedno dugme (polugu). Kod kombiniranih zviždaljki, koje se aktiviraju električno, mora se najmanje na jednom mjestu, na krilima zapovjedničkog mosta ili u kormilarnici, osigurati ručno aktiviranje ili električno, napajano iz izvora električne energije za nužnost.
4.6.2.4 Ako su na brodu zviždaljke postavljene na razmaku većem od 100 metara, moraju se poduzeti konstrukcijske mjere da se one ne uključuju istodobno. Ako u zvučnom polju jedine zviždaljke, ili jedne od zviždaljke, zbog postojanja zapreka može nastati zona znatnog smanjenja jačine signala, preporučuje se postavljanje sustava spojenih zviždaljki kako bi se spriječilo smanjivanje te razine. Sustav spojenih zviždaljki smatra se kao jedna zviždaljka. Zviždaljke takvog sustava moraju se postavljati na razmaku od najviše 100 m, kako bi mogle raditi istodobno. Frekvencija svake od tih zviždaljki mora se razlikovati od frekvencije ostalih zviždaljki za najmanje 10 Hz.
4.6.3 Zvono
4.6.3.1 Zvono mora biti postavljeno nepokretno na slobodnom dijelu palube kaštela, blizu sidrenog vitla. Zvono mora biti obješeno tako da se može slobodno ljuljati na bilo koju stranu, ne manje od 50o (0,87 radijana), a da ne dodirne bilo koji dio brodske konstrukcije ili opreme.
4.6.4. Gong
4.6.4.1. Ton i zvuk brodskog gonga mora se jasno razlikovati od tona i zvuka zvona.
Gong se mora postavljati što bliže krmenom kraju broda, na mjestu gdje ništa neće ometati širenje njegova zvuka, u skladu sa zahtjevima u 4.6.3.
Gong promjera većeg od 500 mm, ili težine preko 5 kg (50 N), mora imati uređaj za okačivanje na predviđeno mjesto. Ako gong nije teži od 5 kg, ili mu promjer nije veći od 500 mm, nije nužno da bude učvršćen na određenom mjestu.
4.7 UREĐAJI ZA PODIZANJE I ČUVANJE SIGNALNIH TIJELA I ZASTAVA
4.7.1 Na brodovima se moraju nalaziti odgovarajući uređaji (jarboli, pripone s dovoljnim brojem signalnih uzica) za podizanje signalnih tijela i zastava. Signalne uzice moraju biti tako smještene da se istodobno mogu podići do tri signalne zastave, koje se ne smiju uzajamno zaklanjati. Duljina signalnih uzica mora omogućavati podizanje kombinacije od četiri zastave.
4.7.2 Signalna tijela moraju se čuvati blizu zapovjedničkog mosta ili uređaja za njihovo podizanje na odgovarajuće mjesto.
4.7.3 U kormilarnici ili na zapovjedničkom mostu mora se nalaziti ormar s policama za zastave. Broj polica mora odgovarati broju zastava jednog sloga (ICS) i naknadno zahtijevanih posebnih zastava. Ormari koji su postavljeni na otvorenom moraju imati vratašca ili druge uređaje koji štite zastave od atmosferskih utjecaja. Ormari koji su smješteni u kormilarnici mogu biti otvoreni.
4.8 UREĐAJI ZA ČUVANJE PIROTEHNIČKIH SIGNALNIH SREDSTAVA
4.8.1 Za čuvanje pirotehničkih signalnih sredstava moraju se predvidjeti posebni vodonepropusni metalni ormari, u kućici zapovjedničkog mosta ili metalni sanduk, dobro pričvršćen na palubi zapovjedničkog mosta.
4.9 UREĐAJI ZA ČUVANJE REZERVNIH SVJETILJKI
4.9.1 Za čuvanje rezervnog sloga svjetiljki na brodovima grupe I mora se predvidjeti posebno opremljeno spremište ili posebni ormar.
4.9.2 Čuvanje zaliha za uljne svjetiljke i zapaljive smjese, zahtjevane u skladu s 2.2.5, mora udovoljavati Pravilima za statutarnu certifikaciju pomorskih brodova, Protupožarna zaštita.
PRILOG V.
SIGNALI POGIBELJI
5.1. Signali koji označavaju pogibelj ili potrebu za pomoć mogu se koristiti odvojeno ili zajedno, a to su:
− pištolj ili drugi eksplozivni signal u intervalima oko jedne minute,
− kontinuirani zvučni signal za maglu od bilo kojeg sredstva,
− rakete crvene boje ispaljene u kratkim intervalima,
− SOS signal emitiran na bilo kakav način,
− riječi »MAYDAY« preko radiotelefonije,
− internacionalni signalni kod – NC,
− kvadratna zastava s kuglom iznad ili ispod zastave,
− crvena baklja ili crvena raketa s padobranom,
− dimni signal narančaste boje,
− ponavljajuće i lagano podizanje i spuštanje ruku na obje strane,
− DSC signal pogibelji na VHF kanalu 70 ili MF/HF kanalima 2, 4, 6, 8, 12 ili 16 MHz,
− Inmarsat signal pogibelji brod-kopno,
− signal radio plutače koja označava poziciju broda,
− ostali odobreni radio signali uključujući radar transponder sredstava za spašavanje.
Za pristup do sadržaja morate biti korisnik portala www.informator.hr.
Sadržajima se pristupa ovisno o Vašem paketu.
Prijava
Zaboravljena zaporka?
Nemate korisničke podatke? Besplatno se registrirajte i testno pristupajte sadržajima 7 dana.
Kao besplatan korisnik ostvarujete pristup do 20 dokumenata.